Update DAI Interest Rate Model to Better Accommodate Zero Stability Fee
Proposal Summary
In this Compound Improvement Proposal, we propose a new interest rate model for Dai. We believe this new interest rate model provides a better user experience to capital suppliers, with minimal impact to borrowers.
Context
When the DAI interest rate model was developed and deployed, the community, including the Compound team, did not anticipate the Stability Fee (SF) and Dai Savings Rate (DSR) in MakerDAO’s Multi-Collateral Dai (MCD) system to be set to zero for a prolonged period of time. As a result, the current Dai interest rate model in Compound does not provide a good user experience to capital suppliers when the SF and/or DSR are zero.
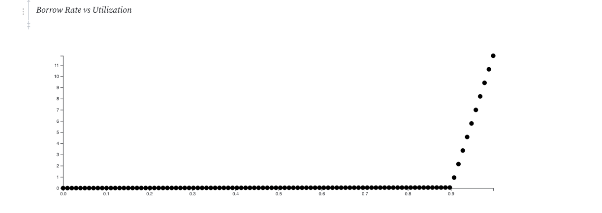
Chart of Current Interest Rate Model
This is a chart of the current Dai interest rate model when the Dai Savings Rate is set to zero:

As you can see, when capital utilization is below 90%, suppliers earn practically nothing. And when capital utilization is greater than 90%, rates fluctuate wildly due to the steep slope of the post-kink part of the curve.
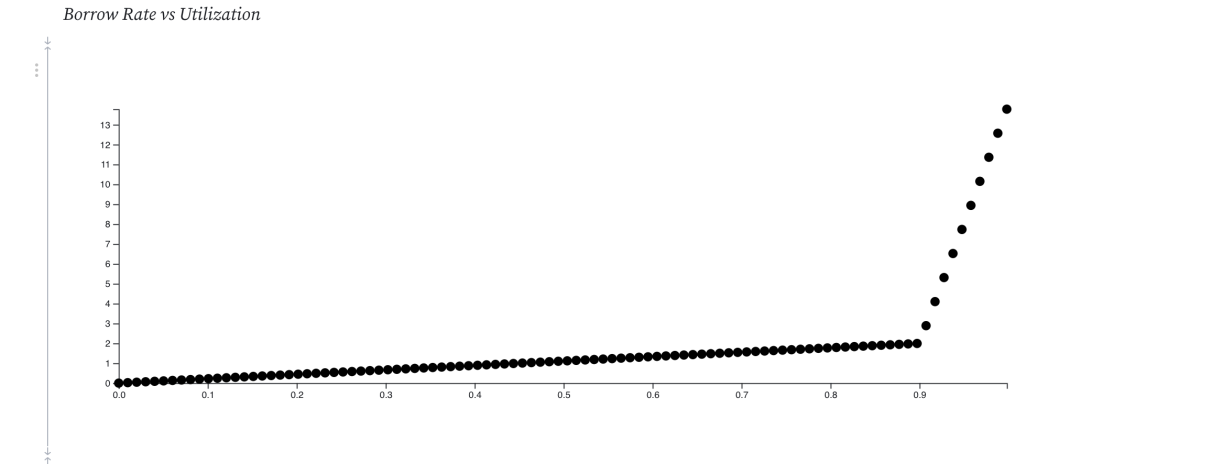
Proposed Interest Rate Model
Our proposal adjusts the current model to provide a modest interest rate to capital suppliers when interest rates are below 90%. As an added benefit, when rates are greater than 90%, the interest rate volatility should decrease (slightly).

Supporting Links
| Voter | Cast Power | Vote & Rationale |
|---|---|---|
0xeD40...5608fF | 325,712 | FOR |
0x8169...539806 | 101,000 | FOR |
0x7e4A...8B19Fa | 100,015 | FOR |
0x3429...b6F481 | 100,001 | FOR |
0x1d29...Da5D1f | 50,000 | FOR |
VOTE POWER
Proposal Status
- Published Onchain
0x7e4A...8B19Fa
- Mon April 27 2020, 08:09 pmVoting Period Starts
- Thu April 30 2020, 12:15 pmEnd Voting Period
- Thu April 30 2020, 01:46 pmQueue Proposal
- Sat May 02 2020, 01:56 pmExecute Proposal
Current Results
1-FOR
898,262.25
2-AGAINST
25,001
