Make Austin Nounish
TLDR
ATX DAO, the crypto community of Austin, Texas, would like to make Austin Nounish. We are requesting a 51.2 ETH grant to help fund the development and migration to ATX Nouns—the first-ever Dynamic Noungorithmic Auctions (The DNA Standard)—and an ongoing stream of collaborative projects that spread the Nouns meme through the entire city.
What is ATX DAO
ATX DAO is a DAO for Austin, Texas focused on building a robust web3 community, supporting local businesses and startups, and working with the government to craft sensible crypto regulation. We launched our Genesis NFT memberships in October 2021 and have grown from 24 founding members to 214 members. We operate as a nonprofit (specifically a UNA) and work together to support the city of Austin using crypto. We consider ourselves a “city DAO,” that is, a grassroots crypto community that coordinates using onchain tooling to have a positive impact on the city.

In Austin, we are synonymous with crypto as a community, an industry, and a technology. We are creating public art projects (atxdao.com/mural), we are onboarding artists to NFTs (atxdao.com/art), and we are supporting entrepreneurs in the startup scene. We also coordinate dozens of meetups and events for the crypto scene throughout the entire year, ranging from big parties at SXSW and Consensus, to pitch competitions, to recurring casual meetups.


Notably, ATX DAO is the first DAO in the history of the world to have passed a bill through a legislative body. In 2023, the members of ATX DAO worked tirelessly during the 88th Texas Legislature to draft, formalize, and lobby for a novel legal DAO wrapper. We were able to secure unanimous approval in the House of Representatives. Watch the bill’s passage through the Texas House.

ATX DAO has also propagated the idea of a “city DAO” (not to be confused with City DAO in Wyoming) and many other groups of people in different cities have reached out to learn from our experience and work together to make a DAO for their city. We are helping other cities such as Dallas, Fort Worth, Houston, and DC, and if the ATX Nouns membership platform works as well as we think it will, we look forward to helping other cities deploy on Nouns too
Our DAO has been successful because people are united by a common love for Austin. We believe that Austin is a special city because of its location in the center of a Venn Diagram that includes art, music, film, food, and technology. Austin’s population is increasing by approximately 184 people a day, and each day more Austinites join the crypto ecosystem. In a feature piece, CoinDesk referred to Austin as the city “where remote-work crypto developers actually choose to live.” They also selected Austin as the location for Consensus three years in a row, only ending their contract because the Austin Convention Center is shutting down for renovations.
We believe that Austin is a city where Nounish ideas will flourish and would love to accelerate that growth.
How our membership works now:
To join ATX DAO you must purchase a membership NFT, and like Nouns, each NFT grants 1 vote. To date, the ATX DAO community has decided to allow new members into the organization 4 times (Genesis, Zilker I, Zilker II, Bluebonnet), and each time we source a local artist to make a new piece of art for the next edition and begin an intensive marketing and recruiting process. Membership applications are reviewed by a volunteer committee and accepted individuals are offered the opportunity to join the organization.
This model, while good for creating a curated community and an exclusive vibe, is highly centralized and counter to the ethos that we are working toward. ATX DAO is on a mission to become truly decentralized while focusing on having a positive, regenerative impact. To achieve this, our community has voted to fork Nouns.
What are we proposing?
We propose to pivot ATX DAO away from the application-based, cohort membership model into a novel Nouns model, including custom Austin and Texas Nouns traits designed by local artist and ATX DAO member ArtichokeLord as well as the first ever Dynamic Noungorithmic Auctions, which we just finished developing (check out the spec, code, or test it out on Goerli testnet. Our membership NFTs will thereby be referred to as “ATX Nouns.”

How will ATX Nouns work?
The software that we develop with this funding will not only turn ATX DAO into a leading Nouns fork, but it will also contribute a new primitive to the Nouns ecosystem: Dynamic Noungorithmic Auctions (The DNA Standard).
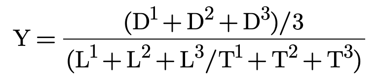
The DNA Standard is a simple algorithm that adjusts auction duration (new supply) based on recent demand.
Rather than a static issuance rate that is based solely on time, Nounish communities can now set a target sale price and let the auction duration fluctuate based on demand. If the price of the last auction was lower than the target, the auction duration will increase until the demand meets supply and the sale price meets or exceeds the target. If the sale price is above the target, meaning demand is high relative to the target price and auction duration, the auction duration is decreased.
The Noungorithm is as follows:

Y = Auction duration
D = Duration of last auction
L = Last sale price (in ETH)
T = Target price (in ETH)
To reduce volatility in auction durations and slow the rate of change, a simple moving average of any number of auctions can be implemented. Here’s an example of the equation smoothed out over the last 2 and 3 auctions.


This diagram illustrates the concept with a target price of 1 ETH and an initial auction duration of 3 days, the parameters that ATX DAO is considering launching with (pending governance).
Benefits
- The right supply, forever. Many projects don’t know how many nouns they want to issue or at what rate. Rather than needing to determine the correct rate up front, supply can automatically adjust to meet demand.
- Seasonal demand ready. For projects in which minting demand is not constant, the DNA offers an automated way to increase issuance when demand is high and decrease until demand picks back up.
- Price targeting. For projects that wish to target a specific price, the elastic supply mitigates the risk of sale prices becoming too high or too low.
ATX DAO has updated the NounsAuctionHouse.sol contract to support the Dynamic Noungorithmic Auctions and will battle-test it in production to validate the concept.
More info: https://offchain.prop.house/nouns/open-round-17
How will providing a grant to ATX DAO benefit NounsDAO?
If we were to receive a grant from Nouns, our goal would be to proliferate the Nouns brand throughout the entire city, including but not limited to making Nouns synonymous with web3 in Austin. Beyond the web3 scene, ATX DAO engages with many communities in Austin, including artists, students, non-profits, businesses, and government. We propose the following distinct benefits to make Austin Nounish:
ATX DAO membership NFTs moving forward will become “ATX Nouns” and feature Noggles
In 2023, ATX DAO accepted 57 new members. For them, their membership NFT is a prized digital position, and often are rocked as PFPs. By including Noggles in the art, we automatically introduce people into the Nouns universe and fundamentally Nounify the DNA of ATX DAO membership. This is truly a monumental change to the organization that we are not taking lightly. Centralized, application-based membership has been a core tenet of the ATX DAO model, and the fact that the ATX DAO community has voted to change this to a Nouns model speaks to the trust and excitement that the organization has towards a long-term Nouns <> ATX DAO collaboration.

While we love the Nouns artwork and the fact that it lives onchain, we’ve also been inspired by Gnars HD, and the potential to give ATX Nouns both an onchain pixel version of their Noun as well as an offchain HD Version with custom artwork. Following the launch of ATX Nouns, we plan to fork Gnars’ implementation and release ATX Nouns HD.
ATX DAO will commission its second mural and incorporate a visual focus on Nouns
Our 2022 mural was a massive success and a project that made waves in the local community. With that under our belt, whatever murals we do next will up the stakes and receive even more attention (especially since we have increased our credibility through our work with the artist residency). By making this mural Nounish, we can leave a physical mark on the Austin landscape representing the meme and increase the awareness of Nouns with local communities and organizations beyond web3.

The Web3 stage and zone at Texas Eclipse will feature Noggles eclipse glasses
ATX DAO is the local partner of Texas Eclipse Festival and is hosting the web3 zone, Texas Eclipse Onchain. Texas Eclipse is a once-in-a-lifetime experience centered around the last total solar eclipse visible in the U.S. for the next 20+ years. This event, set to span over 4+ days, will be a convergence of music, art, futuristic technology, wellness activations, and much more, all with a shared vision of building a better and more sustainable future. It is a partnership with 12 renowned festival producers and combines the vibrancy of SXSW, the intellectual depth of TED Talks, and the artistic and musical allure of festivals like Coachella. Attendance is projected to be 40k+, making it the largest organized festival in the U.S. capturing the unique 2024 celestial experience.

All ATX DAO 2024 merchandise will feature Noggles / Nouns branding
ATX DAO t-shirts are a hot commodity, and we have yet to release any merch for 2024. Whether or not you are an ATX DAO member, people represent the brand because they love it, they love the logo, and they love what ATX DAO stands for. Wearing the shirt at a conference will guarantee compliments. If we were to receive this grant, everyone in the crypto community would be wearing the Noggles over their hearts, right next to the ATX DAO logo. Walking billboards throughout the city and to whatever conference they attend. In 2023 we also explored the idea of limited-run capsule collections. We hoped to create lookbooks and craft a more artistic line of ATX DAO clothing but were unable to fund the project sufficiently and it was tabled for later. This is just one example of the types of ideas that receiving this grant will enable the community to continue funding.


Nouns will receive brand presence at all 2024 ATX DAO events
We have thrown some of the best side events in crypto, and consistently host the top events during Consensus and SXSW. These have developed such a strong reputation that we have been able to raise over $300K in sponsorships from companies as significant as T-Mobile and Chainlink to host these events. We also manage recurring meetups to keep the community active. If we were to receive this grant, Nouns would have a direct, tasteful brand presence at each event without having to pay the sponsorship costs that other organizations are eager to cover.

Each ATX DAO member will become a spokesperson for the Nouns ecosystem
The more ATX DAO gives back to the city, the more people become interested in crypto. However, it’s challenging for people to grasp the space and sometimes people need something fun that they can latch on to. Nouns provide ATX DAO members with a digestible, web3-native concept that is eye-catching, good-natured, and understandable. It demonstrates the power of decentralized organizations and highlights the positive aspects of web3. We hope that our ability to evangelize Nouns through natural interactions leads to even more Nounish proposals and collaborations from local organizations that are less plugged into the crypto world. The things that make ATX DAO unique and the things that make Nouns DAO unique could be a winning combination to onboard large swaths of Austinites.

Additionally, the code that is developed for the Dynamic Noungorithmic Auctions will be a contribution to the open-source ecosystem of tools available to all Nouns projects.
Funding Request
We request 51.2 ETH as a homage to Austin’s area code (512) and the number of cities in the world with a population of 1m+ (512). These funds will be transferred to the existing ATX DAO Treasury which currently holds $110k, an additional $45k of Optimism (OP) that unlocks in October, and will receive 100% of the proceeds from ATX Nouns auctions. In addition to covering all of the initiatives detailed in this proposal, any surplus funding will be available for the ATX Nouns community to do what we dao best: develop, fund, and execute more awesome ideas like the above initiatives. Considering the co-investment from ATX DAO, our track record in securing over $300k in sponsorships for events, and this partnership’s perpetuity, our goal is to make this one of the most efficient and successful investments in Nouns’ history.
Once ATX DAO has validated that the Nouns model and toolset are the ideal solution for city DAOs to coordinate, we envision supporting local communities in spinning up their own city DAOs using the Nouns stack.
We also request Noun 768 so ATX DAO can officially become part of the Nouns community as a voter and formal contributor. As the weirdest city in the only state where Peyote grows natively and legally, the Peyote head is a natural fit. We are active in OP governance and have members who would eagerly step up and be active in this process. It would be an honor to participate in governance and contribute to the Nouns’ bright future. A future so bright, we’re gonna need custom Solar Eclipse Noggles.
What comes next?
ATX DAO’s migration to ATX Nouns is a major evolution to ATX DAO’s DNA that signifies our intention for this partnership to last forever. While the initiatives above are all scheduled for 2024, we hope that this is just the beginning of a long-lasting, sustainable collab between Nouns and the Austin community.
Beyond Austin, the work done on ATX Nouns is step one of building a broader city DAO management platform leveraging the Nouns stack. We believe in a future where any city can spin up a city DAO (using a process hosted on citydao.build, a fork of nouns.build optimized for cities) and join the citydao.network, a substrate for knowledge sharing and onchain organizing for a better future.
We are currently working with crypto communities in the following cities and supporting them in creating their own city DAOs. We have found that a huge roadblock is actually executing the technical aspects. Nouns could play a huge part in fixing that while further proliferating.
Dallas Fort Worth Houston Boston Atlanta DC Charleston Portland Colombo
Thank you for your consideration 🧡 ⌐◨-◨
Written by Mason Lynaugh (@512mace) with support from Willy Ogorzaly (@willyogo) and the extended ATX DAO community.
ATX Nouns artwork by Kathleen Nguyendon (@artichokelord)
ATX Nouns development by Jacob Homanics (@hotmanics), Brent (@spatializes), and Willy Ogorzaly
| Voter | Cast Power | Vote & Rationale |
|---|---|---|
0xcC26...0f6Ed5 | 29 | ABSTAIN |
0xFC21...976214 | 20 | FOR |
0x0a04...0Ce79B | 7 | FOR |
0x16C8...B8BFA6 | 6 | FOR |
0xc2d4...5Fe413 | 4 | AGAINST |
VOTE POWER
Proposal Status
- Sat March 16 2024, 05:48 pmVoting Period Starts
- Wed March 20 2024, 06:56 pmEnd Voting Period
- Queue Proposal
- Execute Proposal
Current Results
1-FOR
67
2-AGAINST
30
3-ABSTAIN
30
